• Предмет: Алгебра
  • Автор: Ziganhinanika
  • Вопрос задан 7 лет назад

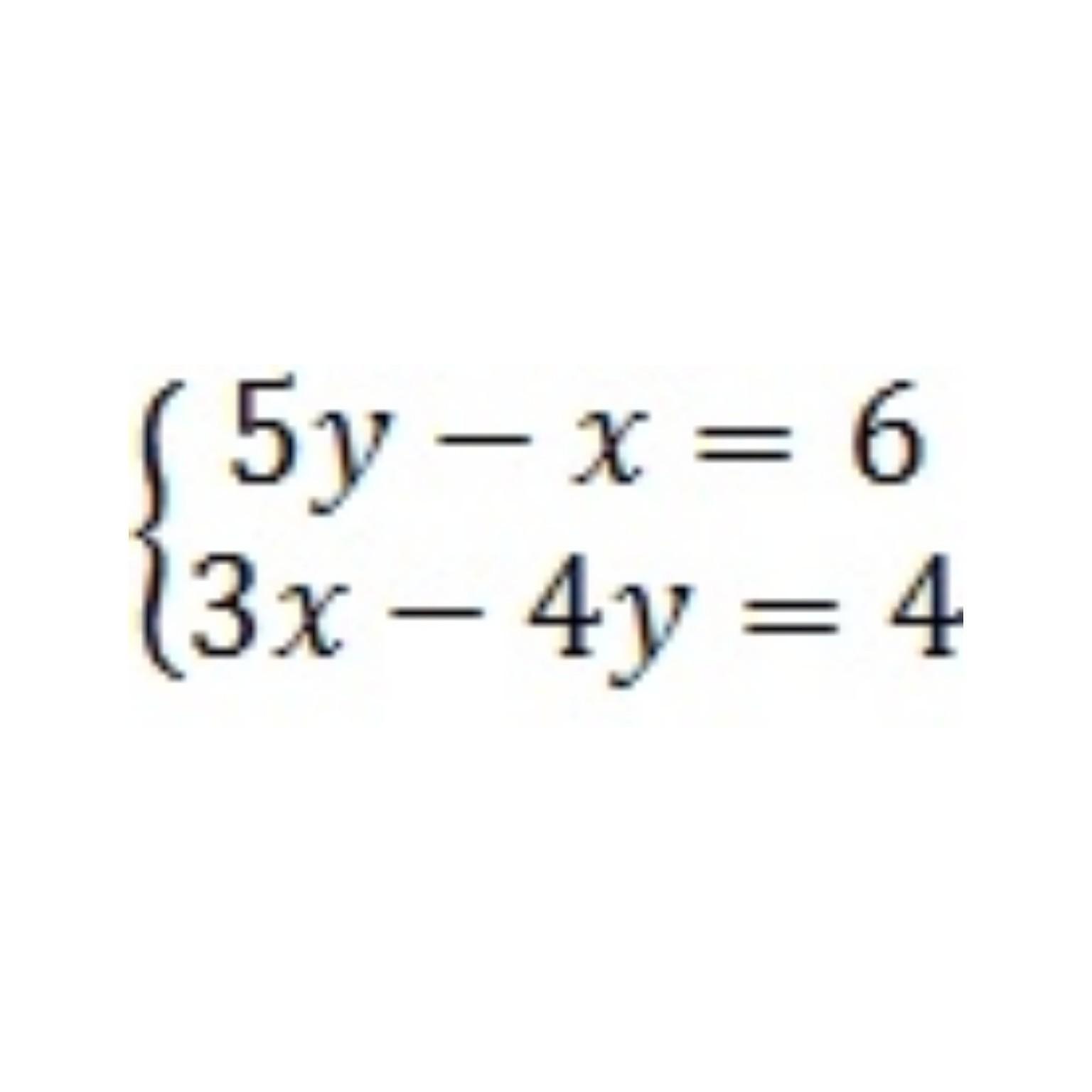
помогите пж

дам баллы пж пж пж​

Приложения:

Ответы

Ответ дал: nelson4ik0
1
Надеюсь ты поймёшь мой почерк)
Приложения:
Вас заинтересует