• Предмет: Алгебра
  • Автор: Аноним
  • Вопрос задан 7 лет назад

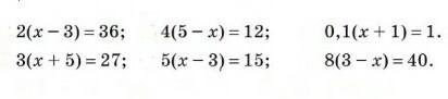
Помогите пожалуста фото ниже​

Приложения:

Ответы

Ответ дал: Аноним
1

Відповідь:

в подальшому старайся робити сама))

Пояснення:

Приложения:

Аноним: яка хвойда мені 1 вліпила чи вліпив?
Вас заинтересует