• Предмет: Математика
  • Автор: cartierhhu
  • Вопрос задан 7 лет назад

пожайлуста ⬇️⬇️⬇️⬇️⬇️⬇️⬇️⬇️⬇️

Приложения:

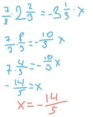
Аноним: х=-14/5

Ответы

Ответ дал: roskisvira
0

Пошаговое объяснение:

х=-14/5обьясненме в фото

Приложения:
Вас заинтересует