• Предмет: Математика
  • Автор: S4t5i
  • Вопрос задан 7 лет назад

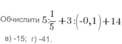
обчисліть. а) -9 б) 9 в) -15 г) -41 ⬇️⬇️

Приложения:

Ответы

Ответ дал: blackberrybelike
1

Ответ:

б) 9...................

Вас заинтересует