Ответы
Ответ дал:
1
Ответ:
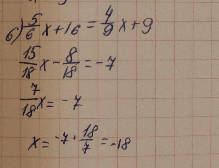
На фотке,
200 и 202 точно правильно, а вот 201,
Там я вычислил правильно, но корней..Туплю, нет ни в одном корней, только х,
Может, формулировка задания не та?
В любом случае, само решение примеров правильное,
Пошаговое объяснение:
Хорошего дня, успехов в учёбе,
Приложения:


qwerty924748:
спасибо огромное
Ответ дал:
1
Ответ:
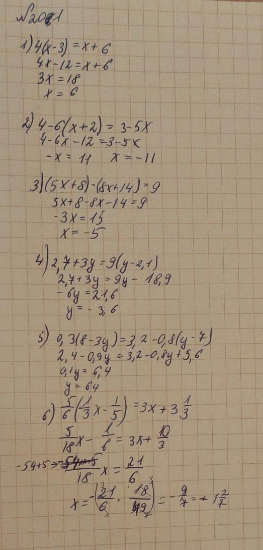
на фотографии...........
Приложения:




Вас заинтересует
2 года назад
2 года назад
8 лет назад
8 лет назад
9 лет назад