• Предмет: Алгебра
  • Автор: perevoznaanastasia09
  • Вопрос задан 7 лет назад

СРОЧНО!!! алгебра, 7 класс, функции. Даю 40 баллов.

Приложения:

Ответы

Ответ дал: ShtainDaniel
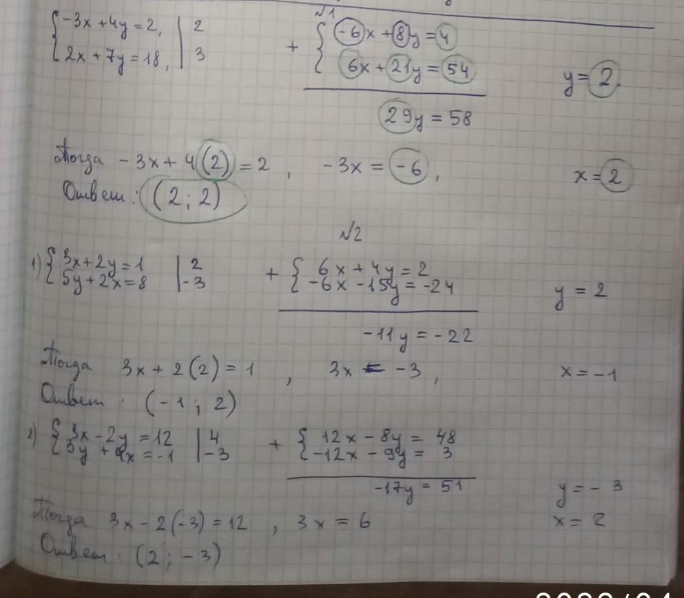
1

2.

1) (-1;2);

2) (2;-3).

Объяснение:

на фото. то что нужно заполнить в пропусках обведено кружками.

Приложения:
Ответ дал: Zombynella
1

Ответ:

В решении.

Объяснение:

1.

-3х + 4у = 2 | х2  →  -6х + 8у = 4

2х + 7у = 18 | x3  →   6х + 21у = 54

Сложить уравнения:

-6х + 6х + 8у + 21у = 4 + 54

          ↓

29у = 58

у = 58/29

у = 2;

Теперь подставить значение у в любое из двух уравнений системы:

-3х + 4у = 2

-3х = 2 - 4 * 2

-3х = 2 - 8

-3х = -6

х = -6/-3

х = 2;

Решение системы уравнений: (2; 2).

2.

3х + 2у = 1  умножить на -5;

5у + 2х = 8 умножить на 2;

           ↓

-15х - 10у = -5

10у + 4х = 16

Сложить уравнения:

-15х + 4х - 10у + 10у = -5 + 16

            ↓

-11х = 11

х = 11/-11

х = -1;

Теперь подставить значение х в любое из двух уравнений системы:

3х + 2у = 1

2у = 1 - 3х

2у = 1 - 3(-1)

2у = 1 + 3

2у = 4

у = 2;

Решение системы уравнений: (-1; 2).

3)

3х - 2у = 12  умножить на 3;

3у + 4х = -1  умножить на 2;

         ↓

9х - 6у = 36

6у + 8х = -2

Сложить уравнения:

9х + 8х - 6у + 6у = 36 - 2

17х = 34

х = 34/17

х = 2;

Теперь подставить значение х в любое из двух уравнений системы:

3у + 4х = -1

3у = - 1 - 4 * 2

3у = -1 - 8

3у = -9

у = -9/3

у = -3;

Решение системы уравнений: (2; -3).

Вас заинтересует