• Предмет: Алгебра
  • Автор: skalohin
  • Вопрос задан 7 лет назад

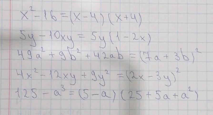
x^2-16
5y-10xy
49a^2+9b^2+42ab
4x^2-12xy+9y^2
125 - a^3​

Ответы

Ответ дал: sssgeniysss
1

Ответ:

на прикрепленном фото ответ

Приложения:

skalohin: спасибо
Вас заинтересует