• Предмет: Геометрия
  • Автор: rty92
  • Вопрос задан 7 лет назад

Добрый вечер, помогите решить задачу, пожалуйста.
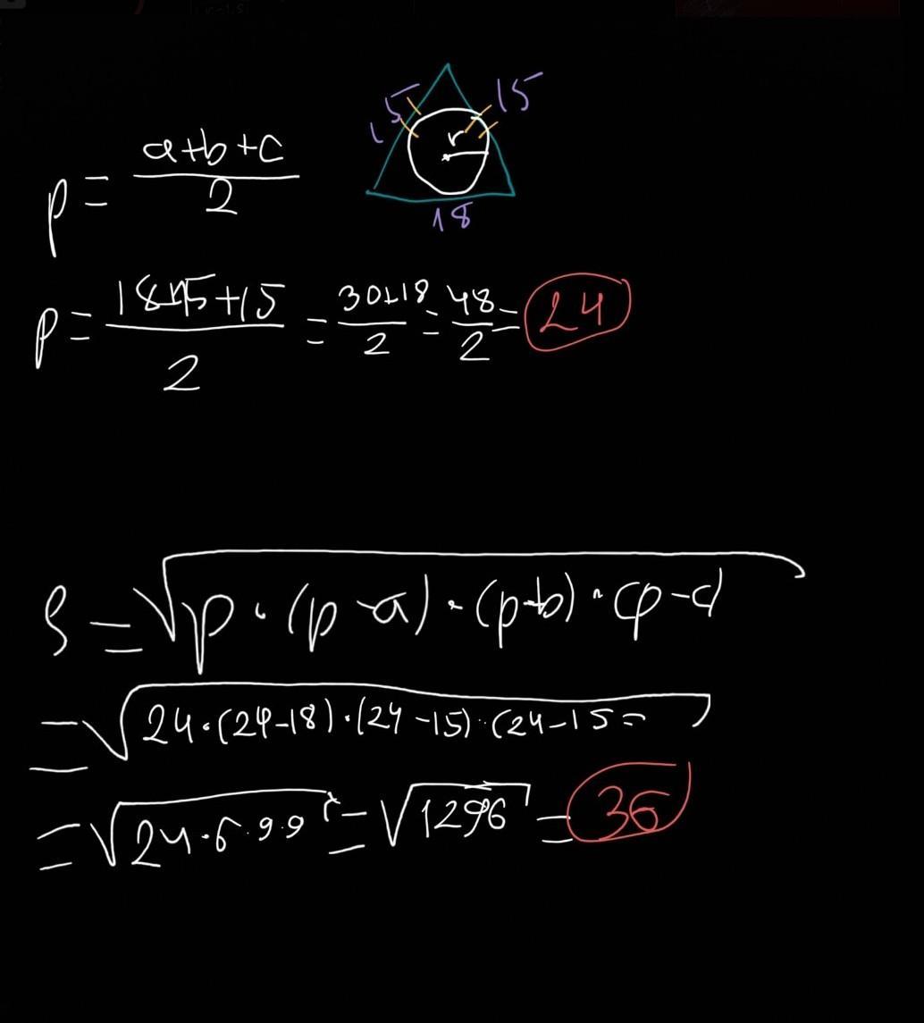
В равнобедренный треугольник вписана окружность. Найдите ее радиус, если основное треугольника 18 см, боковая сторона 15 см.
8 класс

Ответы

Ответ дал: nuriyatuzelbaev
1

Объяснение:Вот! Я тоже 8 класс^-^

Приложения:

math448: Неверно)
math448: Ошиблась в площади, считай внимательнее
rty92: Хорошо, спасибо
math448: Неверный радиус!!
nuriyatuzelbaev: S=108 | 108=24×r | r=108:24=4.5
math448: Да теперь уж неважно, сосчитано то Неверно; считай внимательнее
nuriyatuzelbaev: ок
Вас заинтересует