• Предмет: Физика
  • Автор: ggs92
  • Вопрос задан 7 лет назад

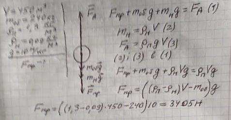
Куля об’ємом 450 м3 заповнена воднем. Маса її оболонки 240 кг. З якою силою натягуються троси, що утримують кулю перед запуском? Густина повітря при даних умовах 1,3 кг/м3, густина водню 0,09 кг/м3.

Ответы

Ответ дал: zybkov1950
0

Відповідь:  3405 Н

Пояснення:

Приложения:

hopkinsbaka: помогите, пожалуйста.
Вас заинтересует