• Предмет: Физика
  • Автор: Xylesz
  • Вопрос задан 7 лет назад

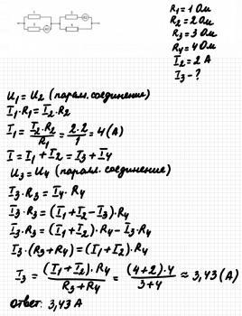
В электрической цепи, схема которой представлена на рисунке, амперметр А1 показывает силу тока 2А. Определите показания амперметра А2.

40 баллов
СРОЧНО

Приложения:

Ответы

Ответ дал: Improvization
1

Ответ:

Вот ответ

Объяснение:

Приложения:
Вас заинтересует