Решите кому не сложно задача лёгкая
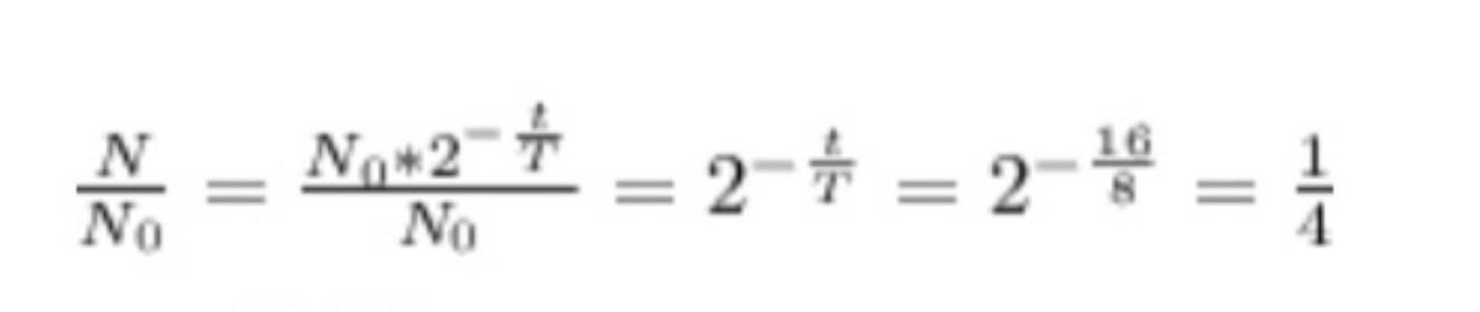
Период полураспада изотопа иода составляет 8 суток. Какая доля от исходного большого количества этих ядер остаётся нераспавшейся через интервал времени, равный 16 суток? 32 дня?
Ответы
Ответ дал:
0
Объяснение:
Т.е. 25% останется нераспавшимися через 16 суток.
Приложения:

Вас заинтересует
2 года назад
2 года назад
2 года назад
8 лет назад
8 лет назад
9 лет назад