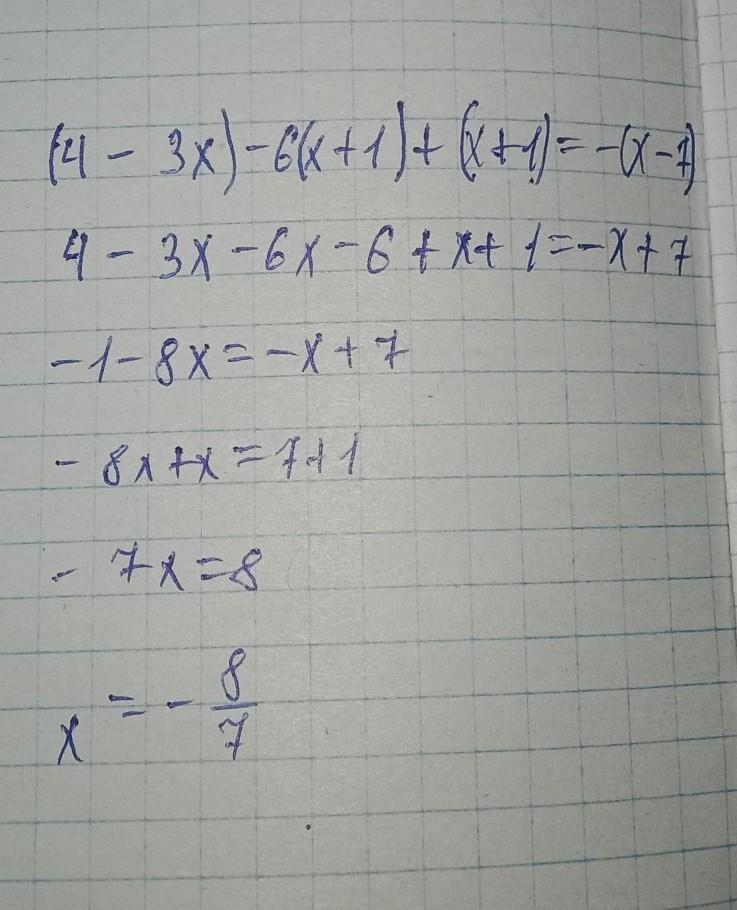
Найдите ошибки (помогите!)
(4-3x) -6(x+1) + (x+1) = -(x-7)
4+3x-5x+1+x-1=x+7
x+4=x+7
x+x=-7+4
2x=-11
x=-11+2
x=13
Ответы
Ответ дал:
0
Пошаговое объяснение:
на фото, надеюсь помогла)
Приложения:

Вас заинтересует
2 года назад
8 лет назад
8 лет назад
9 лет назад