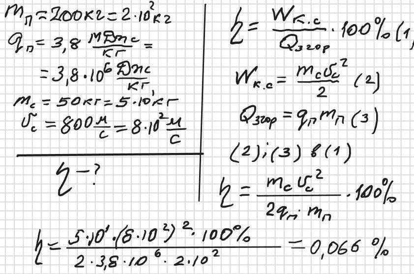
Під час пострілу з грамати сгоряє 200 кг пороху,маса снаряду 50 кг,а швидкість вильоту з стволу 800м/с. Визначте ККД грмати?
zybkov1950:
Ви уявляєте собі 200 кг пороху? Ваша гармата дуже скоро весь порох "з'їсть"
Ответы
Ответ дал:
2
Відповідь: 0,066%
Пояснення:
Приложения:

Вас заинтересует
2 года назад
2 года назад
8 лет назад
8 лет назад
9 лет назад