• Предмет: Математика
  • Автор: taniahka131
  • Вопрос задан 10 лет назад

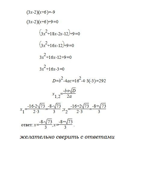
(3x-2)(x+6)=-9 помогите решить

Ответы

Ответ дал: triolana
0
=============================================
Приложения:
Вас заинтересует