Ответы
Ответ дал:
1
Ответ:
5
Объяснение:
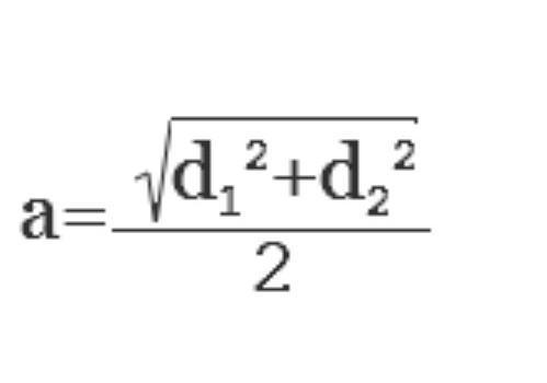
сторона ромба равно корень из суммы квадратов диагонали делить на 2
а-сторона ромба
в1-диагональ
в2-вторая диагональ
подставляем и получаем
сторона ромба равно
8²+6²=100
√100=10
10/2=5
Приложения:

Вас заинтересует
2 года назад
2 года назад
8 лет назад
8 лет назад
9 лет назад
9 лет назад