• Предмет: Алгебра
  • Автор: kseni10tox
  • Вопрос задан 7 лет назад

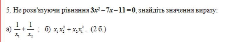
СРОЧНО!!!Не решая уравнения найти значение выражения
Подробно пожалуйста

Приложения:

Ответы

Ответ дал: unknownx0
2

Ответ:

-\dfrac{7}{11},~~-\dfrac{77}{9}

Объяснение:

Вспомним теорему виета:

Если дано квадратное уравнение ax^2+bx+c=0, то его можно найти сумму и разность его корней:

x_1+x_2=-\dfrac{b}{a}\\x_1\cdot x_2=\dfrac{c}{a}

Применим нашу теорему виета

\displaystyle \dfrac{1}{x_1}+\dfrac{1}{x_2}=\dfrac{x_1+x_2}{x_1\cdot x_2}=\dfrac{-\dfrac{-7}{3}}{\dfrac{-11}{3}}=-\dfrac{7}{11}

x_1\cdot x_2^2+x_2\cdot x_1^2=x_1\cdot x_2\cdot (x_1+x_2)=-\dfrac{-7}{3}\cdot \dfrac{-11}{3}=-\dfrac{77}{9}

Вас заинтересует