• Предмет: Математика
  • Автор: 1tanyayakoven
  • Вопрос задан 7 лет назад

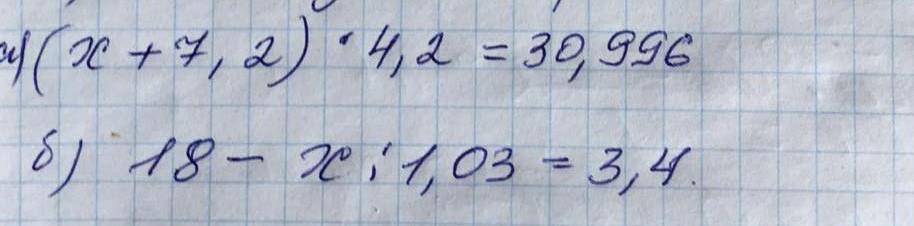
рівняння хеплп плис))))​

Приложения:

Ответы

Ответ дал: wantoniukk
0

Відповідь:бібільше балів

Ответ дал: polinadenisenko28
0

Ответ:

вот

Пошаговое объяснение:

рівняння все на фото

Приложения:
Вас заинтересует