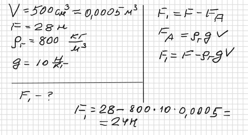
вантаж об'ємом 500 см кубічних підвішено до динамометра, що показує 28. Скільки покаже динамометр якщо вантаж опустити в гас
Ответы
Ответ дал:
3
Відповідь: 24 Н
Пояснення:
Приложения:

Вас заинтересует
2 года назад
2 года назад
8 лет назад
8 лет назад
9 лет назад