• Предмет: Алгебра
  • Автор: ivanilyshin
  • Вопрос задан 7 лет назад

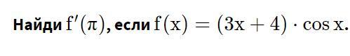
Алгебра. Производная

Приложения:

Ответы

Ответ дал: MizoriesKun
1

Смотри . . . .. .. . .. . .. . .. ... . . .

Приложения:
Вас заинтересует