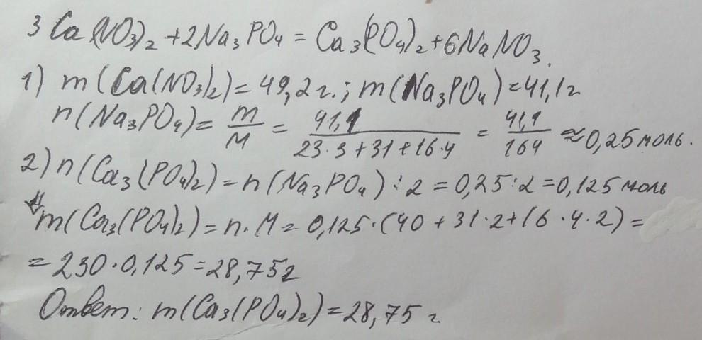
Даю 40 баллов. Определите массу осадка, который образуется при взаимодействии 49,2г нитрата кальция с фосфатом натрия, массой 41,1г.
Ответы
Ответ дал:
2
Решение задачи на фото выше
Приложения:
yonkata:
можно лучший ответ?
Вас заинтересует
2 года назад
2 года назад
3 года назад
3 года назад
8 лет назад
8 лет назад
10 лет назад