• Предмет: Алгебра
  • Автор: jamyx
  • Вопрос задан 7 лет назад

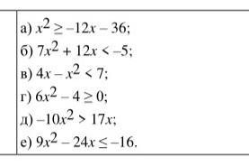
ПОМОГИТЕ СРОЧНО ПОЖАЛУЙСТА !!!!!!!!!​

Приложения:

Ответы

Ответ дал: ofklenskles24
4
чел , это нереально
Вас заинтересует