• Предмет: Алгебра
  • Автор: bakytzantemirlan68
  • Вопрос задан 7 лет назад

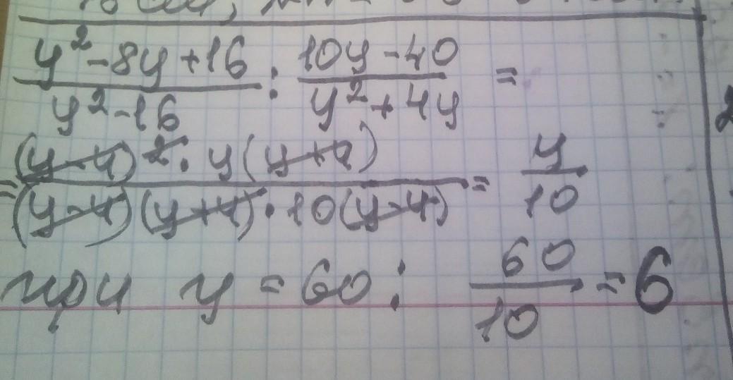
ПОМОГИТЕ ПОЖАЛУЙСТА!!!​

Приложения:

Ответы

Ответ дал: manyny06
1

Ответ:

решение смотри на фотографии

Приложения:
Ответ дал: MizoriesKun
0

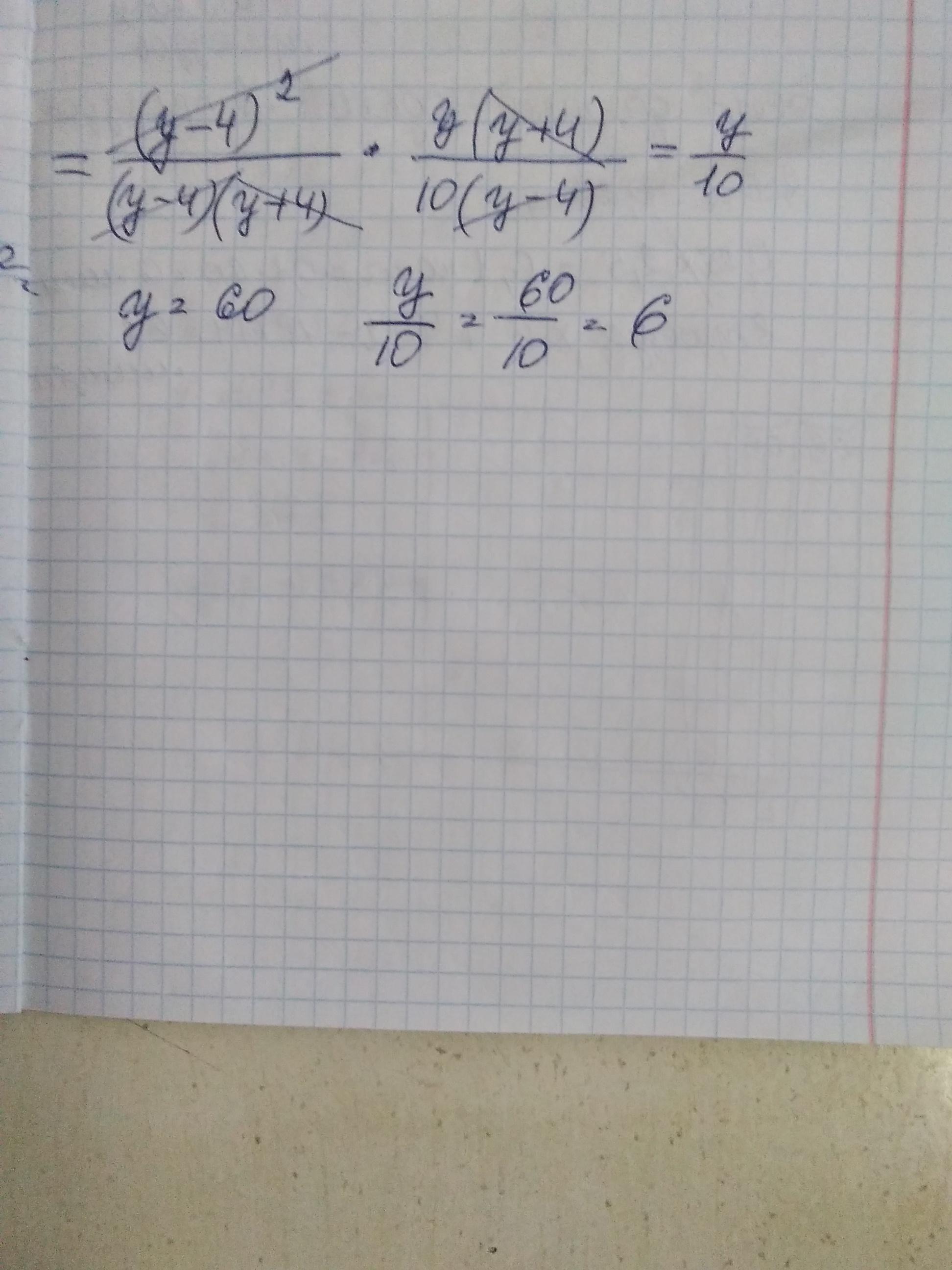
Смотри . . . . . . . .. .... . . . . .. . .. . . .

Приложения:
Вас заинтересует