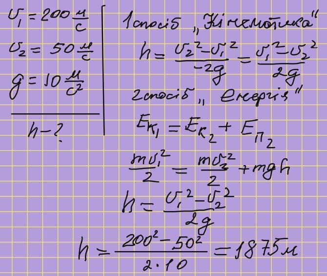
з рушниці вертикально в гору стріляють кулею, що має швидкість руху 200м\с. на якій висоті швидкість зменшиться до 50м\с?
Ответы
Ответ дал:
0
Відповідь: 1875 м
Пояснення:
Приложения:

Вас заинтересует
2 года назад
2 года назад
2 года назад
2 года назад
8 лет назад
8 лет назад
9 лет назад
9 лет назад