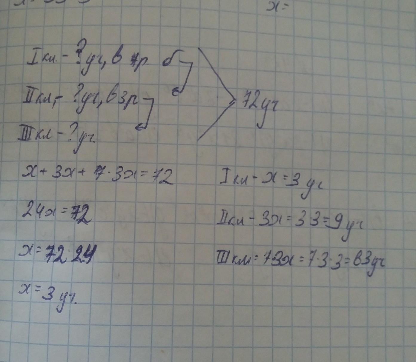
в 3 классах 72 учащихся.в первом классе на 7 раз больше,чем во 2,а во 2 классе учащихся на 3 раза больше чем в 3 классе.Сколько учащихся в каждом классе?
Sabrisha06:
там на 7 больше или в 7 раз больше?
Ответы
Ответ дал:
2
ответ на фото, надеюсь правильно)
Приложения:

Вас заинтересует
2 года назад
2 года назад
8 лет назад
9 лет назад