• Предмет: Алгебра
  • Автор: BaiBoo
  • Вопрос задан 7 лет назад

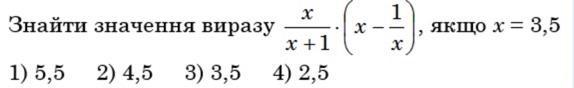
Знайти значення виразу

40 балів

Приложения:

Ответы

Ответ дал: vikasuhareva2001
1

Ответ:

Решение на фото)........

Приложения:
Вас заинтересует