• Предмет: Физика
  • Автор: vadim2410
  • Вопрос задан 7 лет назад

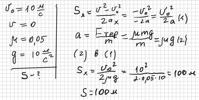
Велосипедист рухається зі швидкістю 10 м/с. Який шлях він проїде по горизонтальній ділянці шляху, після того як перестане обертати педалями. Коефіцієнт тертя 0,05. (g=10м/с2)

Ответы

Ответ дал: zybkov1950
0

Відповідь: 100 м

Пояснення:

Приложения:
Вас заинтересует