• Предмет: Алгебра
  • Автор: Kozloalex2008
  • Вопрос задан 7 лет назад

Задание 3 (14 баллов).

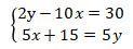
Выясните, имеет ли решение система и, если да, то сколько:

Приложения:

Ответы

Ответ дал: motivirus
1

Ответ:

Объяснение:

первую строчку системы делим на 2

вторую строчку системы делим на 5

\left \{ {{y-5x=15} \atop {x+3=y}} \right.

подставим у из второго в первое уравнение

x+3-5x=15

-4x=12

x=-3

теперь подставим во второе

-3+3=у

у = 0

Вывод: система решается, одно решение

Ответ дал: cvb115
0

Ответ:

\left \{ {{2y-10x=30} \atop {5x+15=5y}} \right.

У множим второе уравнение на 2:

\left \{ {{2y-10x=30} \atop {10x+30=10y}} \right.

Прибавим уравнения:

2у-10х+10х+30=30+10у

2у-10у=30-30

-8у=0

у=0

2*0-10х=30

-10х=30

х=-3

Вас заинтересует