• Предмет: Математика
  • Автор: artemtokorev0
  • Вопрос задан 7 лет назад


5 \div  \frac{5}{6} + 1 \frac{2}{7} \times 5\times \frac{5}{6} - 4 \times \frac{3}{4}
помогите пж зделаю всё​


artemtokorev0: спасибо большое

Ответы

Ответ дал: TutorOnline
2

Ответ:

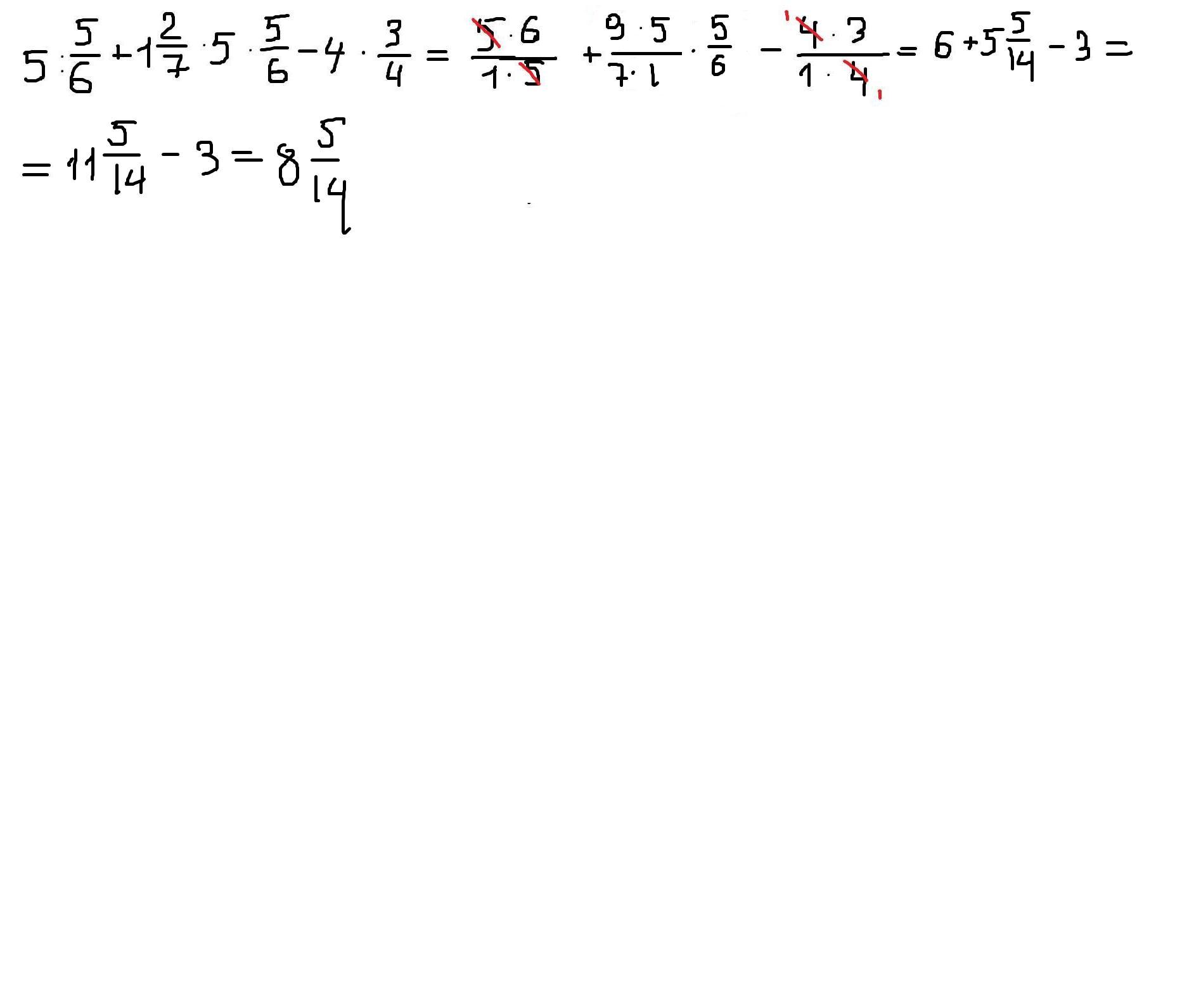
Пошаговое объяснение: на фото

Приложения:

turkmenistan225: где?
TutorOnline: ну ответ должен быть 13 5/7
TutorOnline: а у тебя 8 5/14
TutorOnline: щя посмотрим
turkmenistan225: теперь
turkmenistan225: правильно
TutorOnline: о боги. верни всё на место
TutorOnline: у тебя было норм.
TutorOnline: я там чуточку не так
turkmenistan225: теперь?
Ответ дал: turkmenistan225
0

Ответ:

8 5/14.

Объяснение:

5÷5/6+1 2/7×5×5/6-4×3/4=5×6/5+9/7×5×5/6-3=6+3/7×5×5/2-3=6+75/14-3=3+75/14=8 5/14


TutorOnline: ну ладно. более менее
turkmenistan225: а кто поставил 1⭐?
TutorOnline: я.
TutorOnline: ты что долго просто
turkmenistan225: ну ты и даёшь
TutorOnline: а что. это ни на что не влияет
turkmenistan225: ???
turkmenistan225: а на что должно влиять?
TutorOnline: ни на что.
TutorOnline: просто так
Вас заинтересует