даю 100 балів,допоможіть будьласка
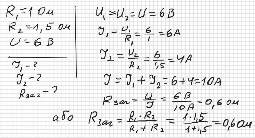
Обчисліть силу струму , що проходить через перший другий резистори , опори яких 1 Ом та 1.5 Ом відповідно , якщо вони з'єднані паралельно та підключенi до джерела з напругою 6 В та загальний опір такого з'єднання через лампочку , опір якої 2 Ом , проходить струм З А.
zybkov1950:
"та загальний опір такого з'єднання через лампочку , опір якої 2 Ом , проходить струм З А." Умова неповна або якась абракадабра. Чи то дві задачі. Покажіть оригінал задачі (задач)
Ответы
Ответ дал:
0
Відповідь: Див. додаток
Пояснення:
Приложения:

Вас заинтересует
2 года назад
2 года назад
2 года назад