• Предмет: Алгебра
  • Автор: lyudmilanik35
  • Вопрос задан 7 лет назад

ПОМОГИТЕ ПОЖАЛУЙСТА, ОЧЕНЬ СРОЧНО!!
1.Решите систему уравнений графическим способом: {2х-у=3, х+у=3.
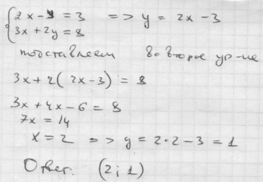
2. Решите систему уравнений любым из двух точных способов: {6х-2у=7-9у, 8х+3у=52х +1.


Аноним: я про пеппер
kashtanovavaleria1: хз
kashtanovavaleria1: это кто
Аноним: звезда он чекни профиль
Аноним: пол миллиона спасибо 8 к лучших
Аноним: и еще 39 к ответов
Аноним: помог 542 млн пользователям
Аноним: и 3 млн баллов
lyudmilanik35: Спасибо огромное, очень благодарна
lyudmilanik35: выручили

Ответы

Ответ дал: kashtanovavaleria1
1

вроде таккккккккккккк

Приложения:
Ответ дал: Пеппер
2

::::::::: решение ::::::::

Приложения:

lyudmilanik35: спасибо большое!
Вас заинтересует