Ответы
Ответ дал:
1
Ответ:
Теоремы: (при условии, что - сходящиеся последовательности)
Предел суммы:
Предел произведения:
Предел частного:
при условии, что
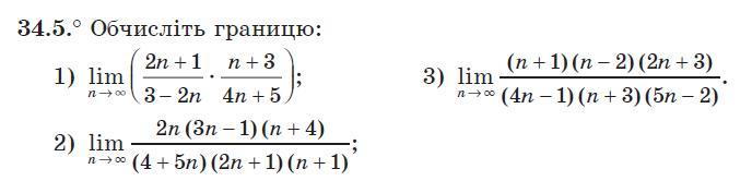
34.5
1) 
2)
а)
б)
3) 
а)
б)
в)
Вас заинтересует
2 года назад
2 года назад
3 года назад
3 года назад
8 лет назад