• Предмет: Математика
  • Автор: TezAdventure
  • Вопрос задан 7 лет назад

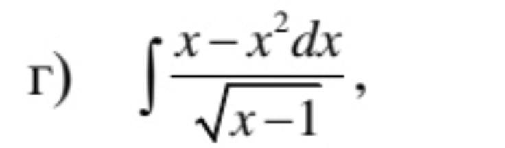
Знайти інтеграл.....,...........

Приложения:

Ответы

Ответ дал: unknownx0
0

Ответ:

\displaystyle -\dfrac2{15}\big(3x+2\big)\big(\sqrt{x-1}\big)^3

Пошаговое объяснение:

\displaystyle \int {\dfrac{x-x^2}{\sqrt{x-1}}} \, dx

Сделаем замену

u = \sqrt{x-1}

Тогда

du=\dfrac1{2\sqrt{x-1}}\,dx\\\\u^2-(u^2+1)^2+1=(x-1)-\big((x-1)^2+1\big)^2+1=x-1-x^2+1=x-x^2

Получаем

\displaystyle =~~2\int \big(u^2-(u^2+1)^2+1\big)\,du=-2\int\big(u^2+1\big)^2\,du+2\int u^2\,du + 2\int\,du=-2\int\big(u^4+2u^2+1\big)\,du+2\int u^2\,du + 2\int\,du=~~-2\int u^4\,du-2\int u^2\,du=-\dfrac{2}{5}u^5-\dfrac{2}{3}u^3+C=-\dfrac{2}{5}\big(\sqrt{x-1}\big)^5-\dfrac{2}{3}\big(\sqrt{x-1}\big)^3+C=-2\big(\sqrt{x-1}\big)^3\cdot\Big(\dfrac15(x-1)+\dfrac13\Big)=\\\\=\boxed{-\dfrac2{15}\big(3x+2\big)\big(\sqrt{x-1}\big)^3}

Вас заинтересует