• Предмет: Математика
  • Автор: DianaRRR44
  • Вопрос задан 7 лет назад

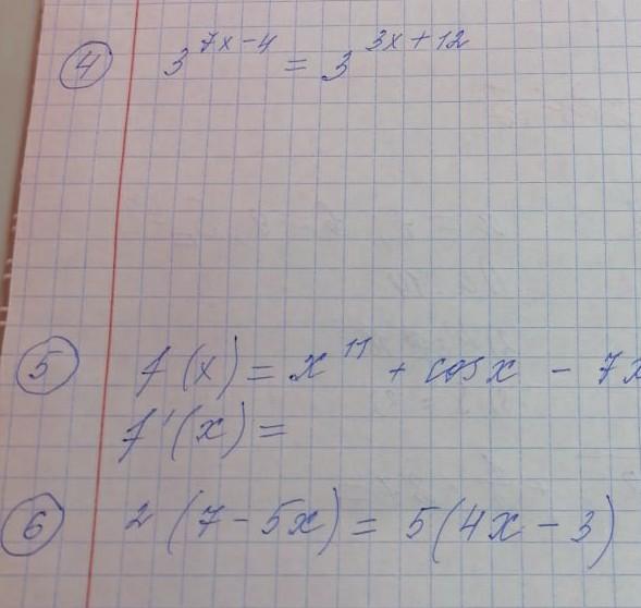
помогите решит пожалуйста 4.6 задание​

Приложения:

DianaRRR44: ПОЖАЛУЙСТА РЕШИТЕ СРОЧНО

Ответы

Ответ дал: PELIJATEJLb3000
0

Ответ:

Пошаговое объяснение:

в четвёртом нужно отбросить тройки и решать уравнение со степенями: 7x-4=3x+12

4x=16

x=4

в шестом раскрываем скобки и так же решаем уравнение, перенеся всё с x в левую часть, а без x - в правую:

14-10x=20x-15

-30x=-29

x=29/30


DianaRRR44: спасибо
DianaRRR44: можешь с еще одним задание помочь?
PELIJATEJLb3000: Ну задай его и я попробую решить
Вас заинтересует