• Предмет: Алгебра
  • Автор: Va213
  • Вопрос задан 7 лет назад

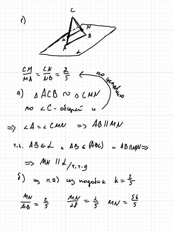
1) Вершина C треугольника ABC не лежит в плоскости α, а сторона AB лежит в этой плоскости. На сторонах AC и BC отметили точки M и N соответственно, причём CM : MA = CN : NB = 2 : 5.

а) Докажите, что прямая MN параллельна плоскости α
б) Найдите длину отрезка MN, если AB = 28 см

2)Дан цилиндр, радиус основания которого равен 24 см. Образующая цилиндра на 2 см меньше диагонали его осевого сечения. Найдите площадь боковой поверхности цилиндра.

Ответы

Ответ дал: Гурлей
7

Ответ:

Объяснение:

см приложение

Приложения:

Va213: Спасибо большое!
Вас заинтересует