• Предмет: Геометрия
  • Автор: LIMEREYKA
  • Вопрос задан 7 лет назад

Дано точки А(-1;-2;-1), B(-1;-1;0), C(-1; -1; -1). Знайдіть величину кута ВАС​

Ответы

Ответ дал: egorkosko3112
1

Ответ:

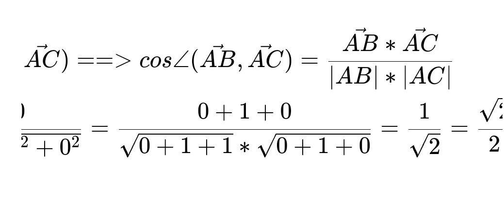
A ( -1 ; -2 ; -1 ) , B ( -1 ; -1 ; 0 ) == > AB ( -1 + 1 ; -1 + 2 ; 0 + 1 ) = ( 0 ; 1 ; 1 )

A ( -1 ; -2 ; -1 ) , C ( -1 ; -1 ; -1 ) == > AC ( -1 + 1 ; -1 + 2 ; -1 + 1 ) = ( 0 ; 1 ; 0 )

Величину < BAC обчислимо із скалярного добутку щойно знайдених векторів , між якими й розміщений цей кут . Скалярний добуток двох векторів дорівнює сумі добутків їхніх відповідних координат . Модуль вектора a ( x , y , z ) можна знайти за формулою

| ā | = √x² + y² + z²

Приложения:
Вас заинтересует