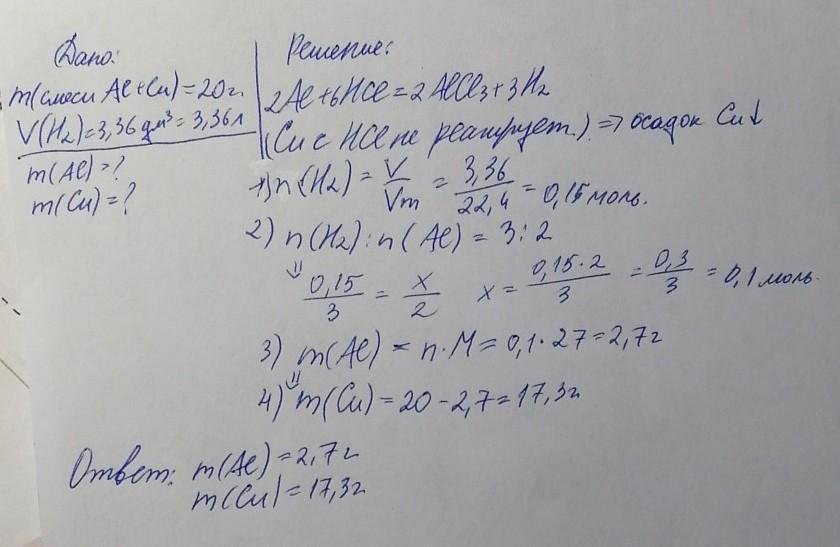
при действии соляной кислоты на смесь алюминия и меди массой 20 г выделился водород объемом 3, 36дм3 Вычислите массу каждого из металлов смеси
Ответы
Ответ дал:
1
Решение на фото
______________
Приложения:

Вас заинтересует
2 года назад
2 года назад
8 лет назад
8 лет назад
9 лет назад