Ответы
Ответ дал:
1
2cos x + 2 = 5sin² x
5sin² x-2cos x-2 =0
5(1-cos²x)-2cos x-2 =0
5-5cos²x-2cos x-2 =0
-5cos²x-2cos x+3 =0
5cos²x+2cos x-3 =0
cosx=y
IyI≤1
5y²+2y-3=0
D=b²-4ac=4+60=64=8²
у=(-2±8)/10
у=-1; у=0.6
если cosx=-1, то х=π+2πк, к∈Z
если cosx=0.6, то х=±arccos(0.6)+2πn, n∈Z
Ответ дал:
1
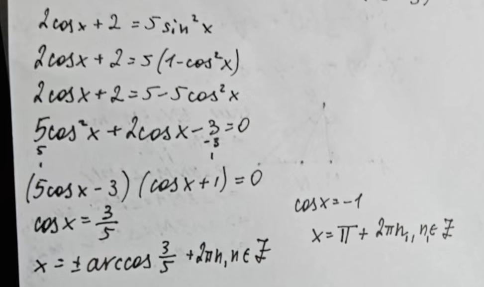
Решение на фотографии
Приложения:

Вас заинтересует
2 года назад
2 года назад
2 года назад
2 года назад
8 лет назад
8 лет назад
9 лет назад
9 лет назад