• Предмет: Физика
  • Автор: Studentnumber
  • Вопрос задан 7 лет назад

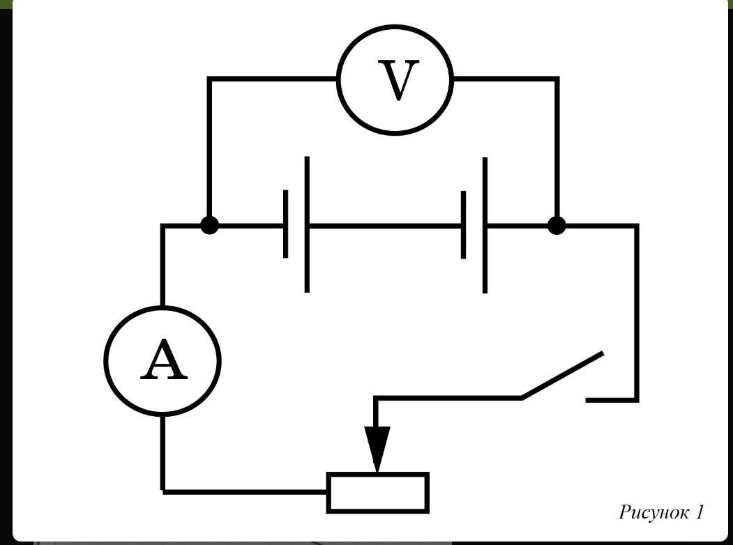
Для исследования вольт-амперной характеристики источника постоянного тока собрали экспериментальную установку (см. фото) по схеме, приведённой на рисунке 1. После обработки экспериментальных данных построили вольт-амперную характеристику (см. рисунок 2). Чему равны ЭДС источника (в В), ток короткого замыкания (в А), внутреннее сопротивление источника постоянного тока (в Ом)?

Приложения:

Ответы

Ответ дал: dedulja66let
1

Ответ:

Объяснение:

Снимем показания:

U₁ = 8 В;   I₁ = 2 А

U₂ = 4 В;   I₂ = 4 А

Внутреннее сопротивление:

r = | ΔU / ΔI | = | (U₂ - U₁) / (I₂ - I₁) | = | (4 - 8) / (4 - 2) | = 2 Ом

ЭДС:

ЭДС = U₁ + I₁·r = 8 + 2·2 = 12 В

Ток короткого замыкания:

Iкз = ЭДС / r = 12 / 2 = 6 А

Вас заинтересует