Найти первые четыре члена геометрической прогрессии, если первый член равен -2, знаменатель 1/2
Ответы
Ответ дал:
1
Ответ:
1) -2; 2) -1; 3) -0.5 4) -0.25
Объяснение:
В геометрической прогрессии, каждая последующая ступень больше предыдущей в n-ное(n=1/2, знаменатель) количество раз.
То есть: -2*(1/2)=-1, вторая ступень; -1*(1/2)=-0.5, третья ступень и так далее...
Ответ дал:
1
Ответ:
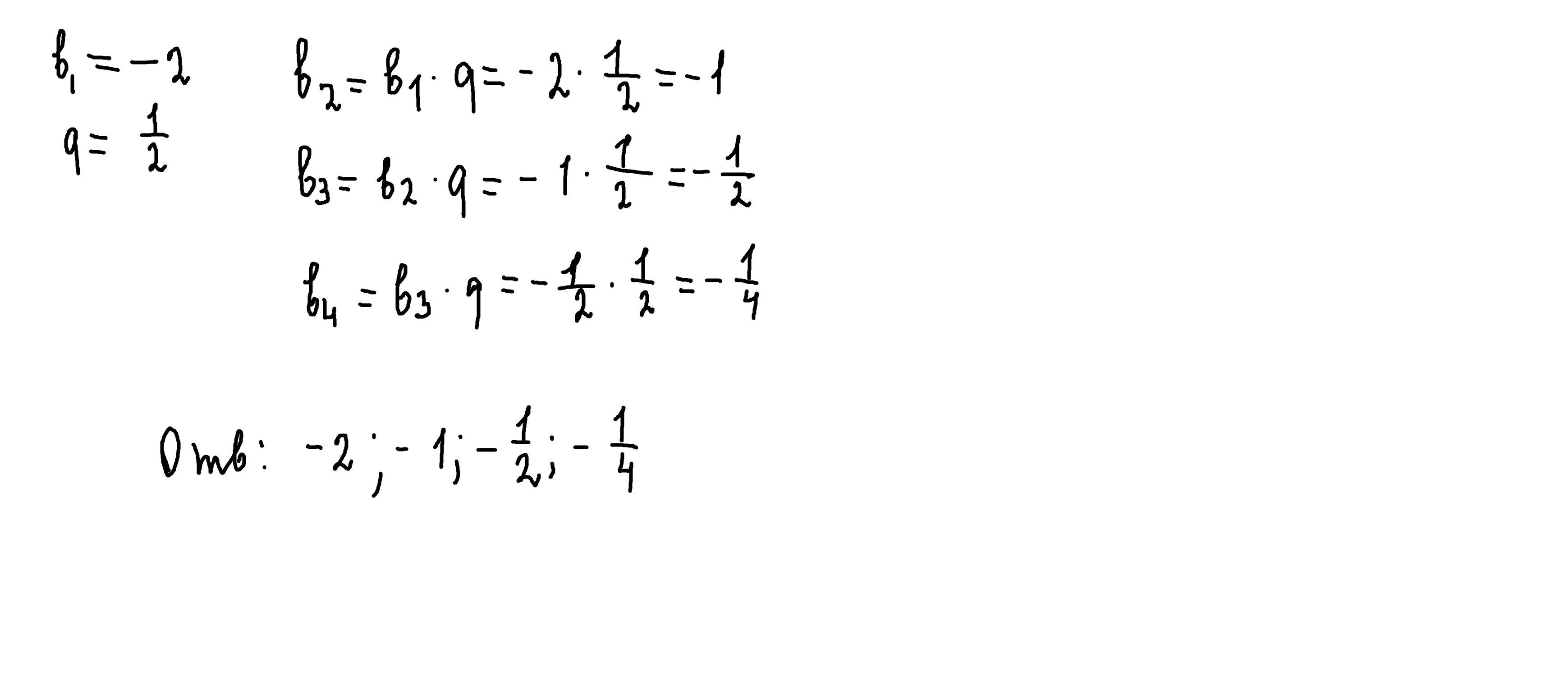
-2;-1;-1/2; -1/4
Объяснение:
решение внизу
Приложения:

Вас заинтересует
2 года назад
2 года назад
2 года назад
2 года назад
8 лет назад
8 лет назад
9 лет назад