• Предмет: Геометрия
  • Автор: nastjaivanchuk
  • Вопрос задан 7 лет назад

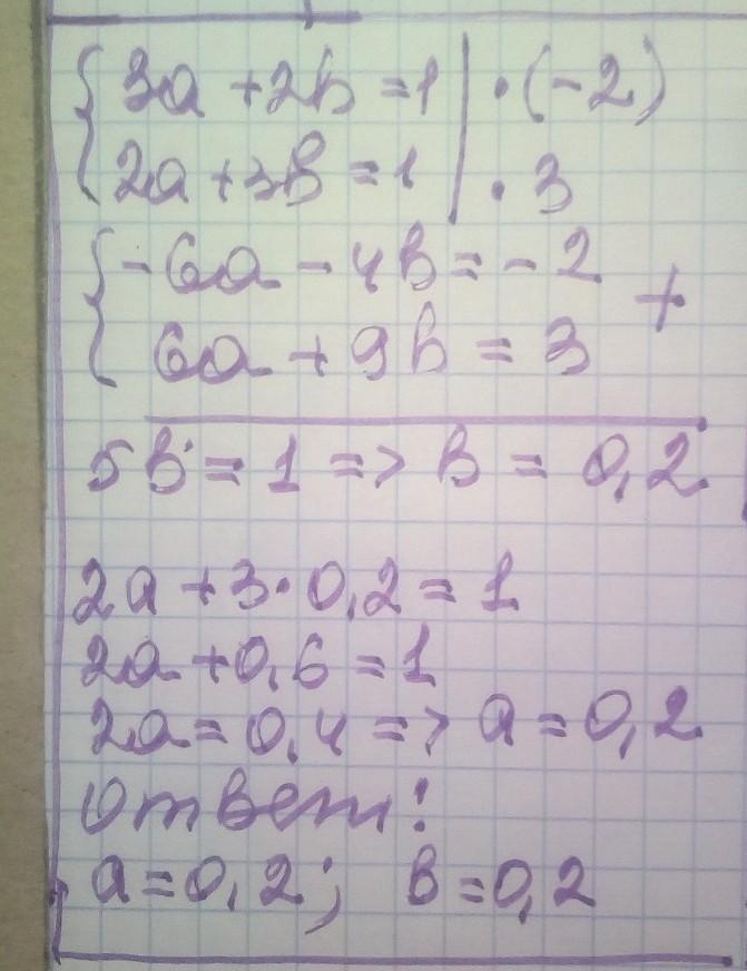
Чому дорівнюють коефіцієнти а i b у рiвнянні прямої
ax + by - 1 =0, яка проходить через точки (3; 2) i (2; 3)?

Будь-ласка допоможіть

Ответы

Ответ дал: manyny06
1

Ответ:

решение смотри на фотографии

Приложения:
Ответ дал: Мишкабаянов
0

На фото

////////////////

Коефіцієнти а = 1/5; b = 1/5

Приложения:
Вас заинтересует