• Предмет: Алгебра
  • Автор: zahragusejn296
  • Вопрос задан 7 лет назад

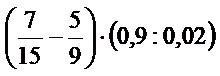
Помогите пожалуйста

Приложения:

Ответы

Ответ дал: Kdwiudajgd
0

-4..................

Вас заинтересует