Допишіть продукти можливих реакцій.(Спочатку формули даних речови і їх взаємодію між собою)
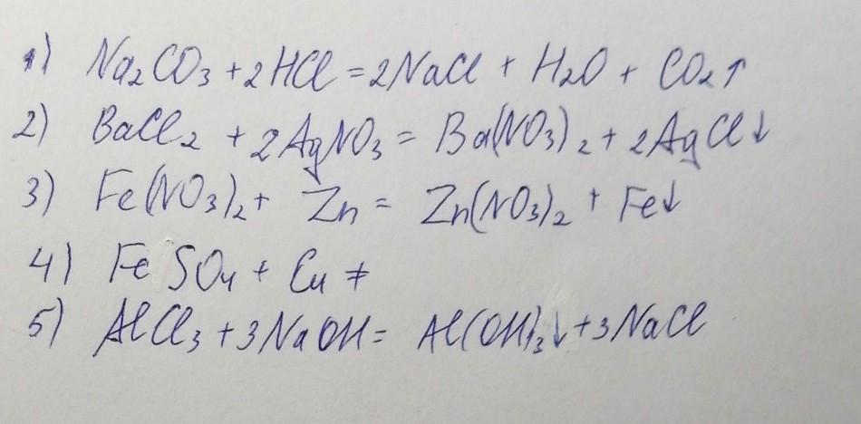
1.Натрій карбонат + хлоридна кислота=
2. Барій хлорид + аргентум(І)нітрат =
3.Ферум(ІІ) нітрат + цинк =
4.Ферум(ІІ)сульфат + мідь =
5.Алюміній хлорид+ натрій гідрлоксид=
Ответы
Ответ дал:
1
Решение на фотографии прикреплено
Приложения:

Вас заинтересует
2 года назад
2 года назад
2 года назад
2 года назад
8 лет назад
8 лет назад
9 лет назад