• Предмет: Математика
  • Автор: K1ngMan228
  • Вопрос задан 7 лет назад

Найти производную (с помощью формул и правил сложения, умножения, частного)​

Приложения:

Ответы

Ответ дал: dedulja66let
1

Ответ:

Пошаговое объяснение:

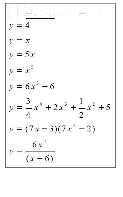
1) y = 4

(4)' = 0

2) y = x

(x)' = 1

3) y = 5x

(5x)' = 5

4) y = 6x³ + 6

(6x³ + 6)' = 18x²

5)

y' = 3x³ + 6x³ + x

6)

y' = 7·(7x²-2)+(7x-3)·(14x) = 49x² - 14 + 98x² - 42x = 147x² + 98x - 14  

7)

y' = (12x·(x+6) - 6x²·1) / (x+6)² = (6x² + 72x) / (x+6)²

Вас заинтересует