• Предмет: Физика
  • Автор: petusaralosara799
  • Вопрос задан 7 лет назад

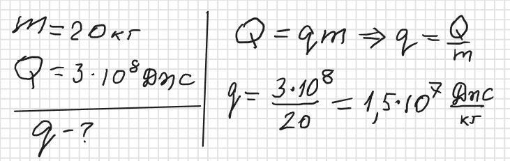
10. В результаті повного згорання тротилу масою 20 кг виділяється 3 . 10 8 Дж енергії. Чому дорівнює питома теплота згорання тротилу?​

Ответы

Ответ дал: zybkov1950
0

Відповідь: 15 МДж/кг

Пояснення:

Приложения:
Вас заинтересует