Срочно помогите умоляю очень срочно больше нету балов.
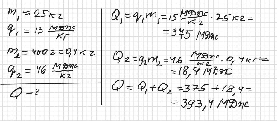
11. Обчисліть, скільки енергії виділяється при повному згоранні торфу масою 25 кг та бензину масою 400 г. (Питома теплота згоряння торфу кг МДж 15 , бензину кг МДж 46 ).
Ответы
Ответ дал:
0
Відповідь: 393,4 МДж
Пояснення:
Приложения:

Вас заинтересует
2 года назад
2 года назад
2 года назад
2 года назад
8 лет назад
8 лет назад
9 лет назад