• Предмет: Физика
  • Автор: gubinamariia
  • Вопрос задан 7 лет назад

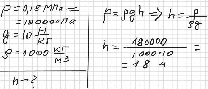
На якій глибині тиск води буде
дорівнювати 0,18 МПа

Ответы

Ответ дал: zybkov1950
2

Відповідь: 18 м

Пояснення:

Приложения:

annapomogite71: Здравствуйте. Нужна помощь Ваша с данным заданиями https://znanija.com/task/49184368
annapomogite71: https://znanija.com/task/49184338 Спасибо огромное заранее
Вас заинтересует