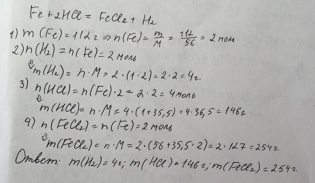
2) Найди массу водорода (Н2), если масса железа равна 112 г.
Fe + HCl = FeCl2 + H2
3) Найди массу соляной кислоты (HCl) и хлорида железа 2 (FeCl2) в предыдущей задаче
Ответы
Ответ дал:
2
Решение задачи на фото выше
Приложения:
yonkata:
можно лучший ответ?
Вас заинтересует
2 года назад
2 года назад
3 года назад
3 года назад
8 лет назад
10 лет назад
10 лет назад