• Предмет: Алгебра
  • Автор: MorgaMargo
  • Вопрос задан 7 лет назад

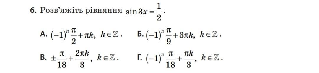
Решите уравнение sin 3x = 1/2

Приложения:

Ответы

Ответ дал: nepustilipoeta
1

Ответ:

г) x=(-1)ⁿπ/18+πn/3;  n∈Z

Объяснение:

sin3x=1/2

3х=(-1)ⁿarcsin(1/2)+πn;  n∈Z

3x=(-1)ⁿπ/6+πn;  n∈Z

x=(-1)ⁿπ/18+πn/3;  n∈Z

Вас заинтересует