Ответы
Ответ дал:
0
Ответ:
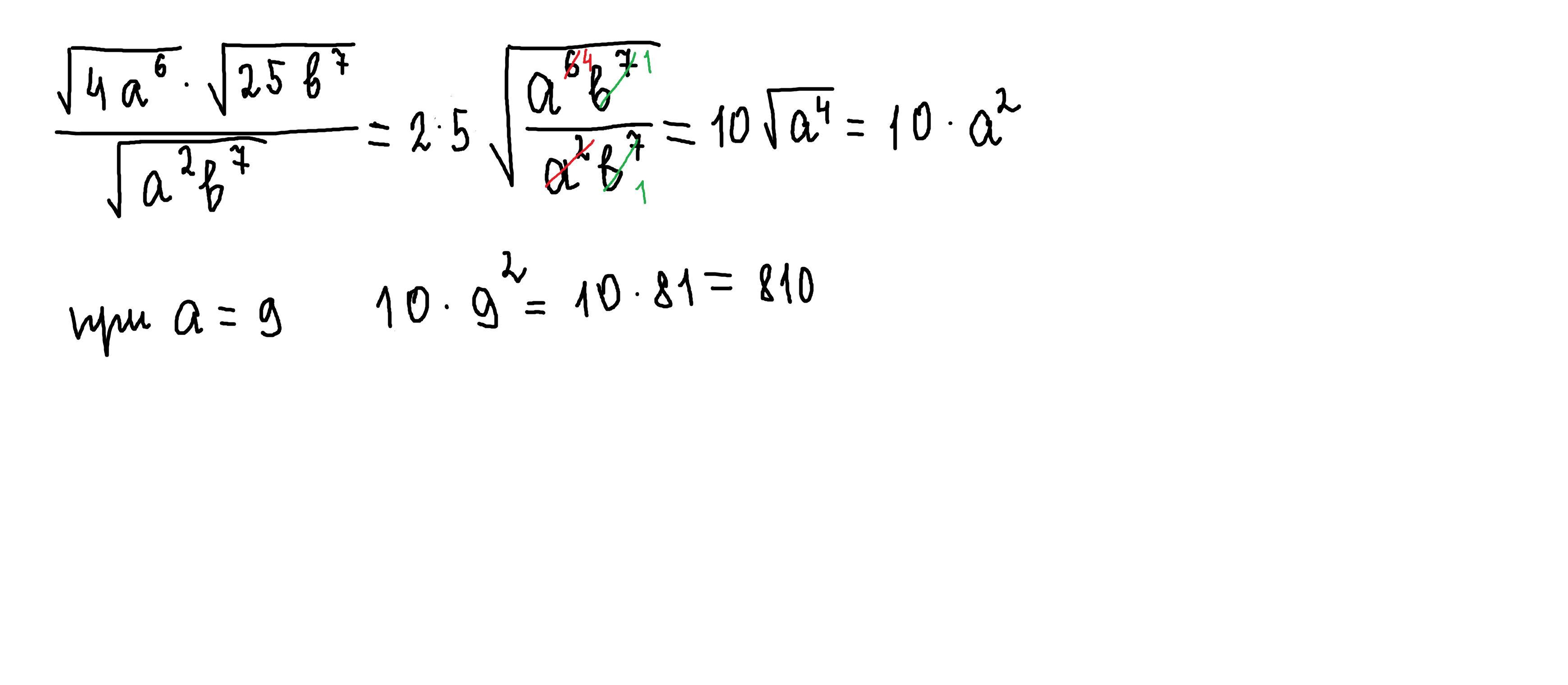
810
Объяснение:
b⁷ в числителе и знаменателе сокращаются,поэтому значение b мы не подставляем
Приложения:

Вас заинтересует
2 года назад
2 года назад
2 года назад
8 лет назад
8 лет назад
9 лет назад
9 лет назад