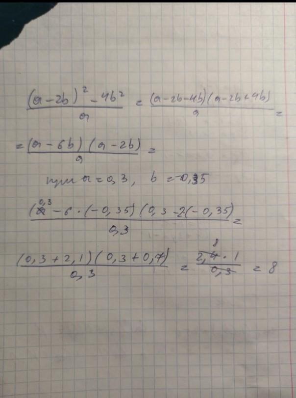
упростить выражение. РЕШЕНИЕ ПОЖАЛУЙСТА НА ЛИСТКЕ БУМАГИ
Приложения:

catecatecatecate:
Всмысле на листке?
Ответы
Ответ дал:
0
....
..................
Приложения:

Ответ дал:
1
.....................................................................
Приложения:

Вас заинтересует
2 года назад
2 года назад
2 года назад
8 лет назад
9 лет назад